Задание для повторения 5 ГДЗ Мерзляк 8 класс (Алгебра)
Решение #1
Решение #2

Рассмотрим вариант решения задания из учебника Мерзляк, Полонская, Якир 8 класс, Вентана-Граф:
Задание № 5 «Проверьте себя» в тестовой форме
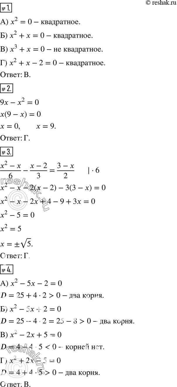
1. Какое из данных уравнений не является квадратным?
А) x2 = 0
Б) x2 + х = 0
В) x3 + x = 0
Г) x2 + x - 2 = 0
2. Решите уравнение 9x - x2 = 0.
А) -3; 0; 3
Б) 0; 3
В) -3; 3
Г) 0; 9
3. Решите уравнение (x2-x)/6 - (x - 2)/3 = (3 - х)/2.
А) 0; 5
Б) 5
В) корень 5
Г) -корень 5; корень 5
4. Какое изданных уравнений не имеет корней?
А) x2 - 5x - 2 = 0
Б) x2 - 5x + 2 = 0
В) x2 - 2x + 5 = 0
Г) x2 + 2x - 5 = 0
5. Сколько корней имеет уравнение 6x2 + 13x + 5 = 0?
А) два
Б) бесконечно много
В) ни одного
Г) один
6. Найдите корни уравнения x2 + 4x - 21 = 0.
А) 7; -3
Б) -7; 3
В) -7; -3
Г) 3; 7
7. Чему равна сумма корней уравнения x2 - 10x - 12 = 0?
А) 10
Б) -10
В) -12
Г) 12
8. Чему равно произведение корней уравнения Зx2 - 16x + 6 = 0?
А) 6
Б) 2
В) -16
Г) 16/3
9. При каких значениях переменной принимают равные значения выражения (Зx - 1)(x + 2) и (x - 12)(x - 4)?
А) -12,5; 2
Б) 12,5; -2
В) -25; 4
Г) 25; -4
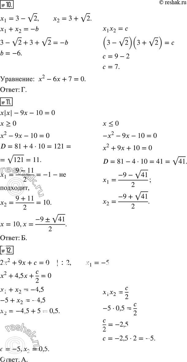
10. Составьте квадратное уравнение, корни которого равны 3 - корень 2 и 3 + корень 2.
А) x2 + 6х - 7 = 0
Б) x2 - 6x - 7 = 0
В) x2 + 6x + 7 = 0
Г) x2 - 6x + 7 = 0
11. Решите уравнение x|x| - 9x - 10 = 0.
А) - 1; 10;
Б) 10;
В) -1;
Г) -1; 10
12. Число -5 является корнем уравнения 2x2 + 9x + с = 0. Найдите второй корень уравнения и значение с.
А) x2 = 0,5, с = -5
Б) x2 = -0,5, с = 5
В) x2 = 9,5, с = 22,5
Г) x2 = 9,5, с = -22,5
*размещая тексты в комментариях ниже, вы автоматически соглашаетесь с пользовательским соглашением